해당 글의 목차
켈리 공식(켈리 방정식)이란?
켈리 공식이란 장기적인 자산 성장률을 최대화하기 위해 고안하여 켈리 공식을 적용한 베팅 및 자산 관리 전략입니다.
이 방법은 1956년 미국 벨 연구소의 과학자 존 L. 켈리 주니어에 의해 제시되었으며, 확률과 수학적 계산을 기반으로 베팅 금액의 비율을 결정하는 것이 특징입니다.
켈리 베팅의 핵심 목적은 단기적인 수익이 아니라, 동일한 조건의 베팅이나 투자가 반복될 때 최종 자산 규모를 가장 크게 만드는 데 있습니다.
이 방법은 단순히 많이 걸거나 적게 거는 방식이 아니라, 자신이 가진 전체 자산 중 일정 비율만을 베팅하도록 설계되어 있습니다.

비율은 승률과 배당률을 바탕으로 계산되며, 자신에게 유리한 확률, 즉 우위(Edge)가 존재할 때만 베팅을 권장합니다.
만약, 기대값이 음수라면 켈리 베팅은 베팅하지 않는 것이 최적의 선택이라 판단합니다.
이 전략의 중요한 특징은 자산의 기하급수적 성장을 고려한다는 점입니다.
켈리 공식을 적용한 베팅 기법은 단순 기대 수익이 아니라 로그 수익률을 기준으로 하여, 파산 위험을 줄이면서도 장기적으로 가장 빠른 성장 경로를 찾습니다.
다만 확률 추정이 부정확할 경우 변동성이 커질 수 있기 때문에, 실제 투자나 베팅에서는 켈리 비율을 줄여 적용하는 경우가 많습니다.
이러한 점에서 켈리 방정식은 공격성과 안정성 사이의 균형을 고민하게 만드는 대표적인 자산 관리 이론입니다.
기본 개념
켈리 공식(켈리 방정식)은 베팅이나 투자에서 가장 어려운 문제인 자금 관리에 명확한 기준을 제시하는 수학적 도구로 쓰입니다.
이 방정식은 단순히 이길 가능성이 있는지 여부를 판단하는 데서 그치지 않고, 그 우위를 얼마나 적극적으로 활용해야 하는지를 수치로 보여줍니다.
다시 말해, 켈리 공식은 승부의 결과보다도 베팅 규모가 장기 성과에 어떤 영향을 미치는지를 중심에 둡니다.
이 방정식의 중요한 특징은 전체 자산을 기준으로 비율을 계산한다는 점입니다.
이를 통해 연속된 손실이 발생하더라도 자산이 급격히 소진되는 상황을 피하도록 설계되어 있습니다.
또한 베팅 결과가 누적될수록 자산 규모에 따라 베팅 금액이 자연스럽게 조정되기 때문에, 수익과 손실이 모두 복리 구조로 반영됩니다.

이러한 특성 때문에 켈리 방정식은 단기 성과보다 장기적인 자산 곡선을 안정적으로 우상향시키는 데 목적이 있습니다.
하지만 켈리 방정식은 모든 상황에서 공격적인 베팅을 권장하지 않습니다.
계산 결과가 0이거나 음수로 나타난다면, 해당 기회는 참여하지 않는 것이 가장 합리적인 선택이라는 의미가 됩니다.
이처럼 켈리 방정식은 베팅을 부추기는 공식이 아니라, 오히려 불리한 선택을 걸러내는 필터로서의 역할을 수행합니다.
장기적인 관점에서 손실을 통제하고 합리적인 의사 결정을 돕는 점이 켈리 방정식의 핵심 가치라고 할 수 있습니다.
켈리 공식 구조

켈리 공식(방정식)은 다소 복잡해 보이지만, 실제 계산 구조는 매우 단순합니다.
켈리 공식의 기본 수식을 그대로 적용하면 됩니다.
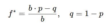
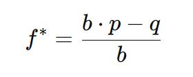
켈리 공식은 다음과 같습니다.
f* = (b x p − q) / b
- f*: 전체 자본 중 베팅(투자)해야 할 비율
- b: 이겼을 때 얻는 순이익 배수
- P: 이길 확률
- q: 질 확률
예를 들어 승률이 55%이고, 배당률이 2.0인 경우를 가정합니다. 이때 p는 0.55, q는 0.45, b는 1입니다.
이를 공식에 대입하면 (1 × 0.55 − 0.45) ÷ 1 = 0.10이 됩니다.
즉, 켈리 공식 계산기의 결과는 전체 자산의 10%를 베팅하는 것이 이론적으로 최적이라는 의미입니다.
켈리 공식 계산기의 중요한 해석 포인트는 결과값이 음수이거나 0일 경우입니다.
이 경우는 해당 베팅이 수학적으로 불리하다는 뜻이며, 계산기는 베팅하지 않는 것이 최선이라는 신호를 줍니다.
반대로 값이 클수록 우위가 크다는 의미이지만, 실제 투자에서는 변동성을 줄이기 위해 계산 결과의 일부만 사용하는 경우가 많습니다.
정리하면, 켈리 공식 계산기는 “이길 것 같은가”를 판단하는 도구가 아니라, 우위가 있을 때 얼마까지 감당할 수 있는지를 수치로 보여주는 자금 관리 도구라고 이해하는 것이 가장 정확합니다.
켈리 공식 계산기

-
현재 자본(Bankroll)을 입력합니다.
-
승리 확률(Win Probability)을 입력합니다.
-
배당률(Odds) 또는 손익비(Risk–Reward Ratio)를 입력합니다.
-
계산된 켈리 비율(Kelly %)을 확인합니다.
-
자본 × 켈리 비율로 실제 베팅 금액을 산출합니다.
켈리 공식 계산기를 사용할 때 가장 흔한 실수는 확률을 객관적인 근거 없이 감으로 입력하는 것입니다.
승률 추정이 부정확하면 계산 결과 역시 신뢰할 수 없게 되죠.
또한 배당률과 손익비를 구분하지 못하고 혼동하여 입력하는 경우가 많습니다.
켈리 공식은 반복 베팅을 전제로 한 방법이므로, 단발성 베팅에 한 번만 사용하고 끝내는 것은 올바른 방법이 아닙니다.
따라서 켈리 공식 계산기는 단순한 수치 계산 도구로 사용하기보다는, 확률 추정의 정확성과 리스크 관리 원칙을 함께 고려하며 신중하게 활용하는 것이 중요합니다.

켈리 공식 베팅 적용법
① 승리 확률 p 추정
- 먼저 해당 경기나 베팅의 승리 확률을 추정합니다.
- 통계, 과거 기록, 모델 등을 기반으로 합니다.
-
예: 55% → p=0.55p = 0.55
② 배당률 또는 손익비 b 확인
- 배당률(Odds) 또는 손익비(Reward : Risk)를 계산합니다.
- 배당률 예: 2.0 → b=1b = 1
-
손익비 예: 이익 20, 손실 10 → b=2b = 2
③ 켈리 비율 계산

- 계산기나 수식으로 f∗를 구합니다.
- 예: f* = 0.10 → 자본의 10%
④ 실제 베팅 금액 계산
베팅 금액 = 자본 x f*
- 자본 100만 원, f* = 0.10 → 10만 원 베팅
⑤ 반복 적용
- 켈리 공식은 연속 베팅을 전제로 합니다.
- 매 베팅 후 자본 변화를 반영하여 다시 계산합니다.
켈리 공식 손익비

켈리 공식 손익 비는 한 번 이겼을 때 얻는 이익과 한 번 졌을 때 입는 손실의 비율을 말합니다.

- f*: 자본 대비 최적 베팅 비율
- b: 손익비
- p: 승리 확률
- q = 1 – p : 패배 확률
적용법 요약
- 승률 p를 추정합니다.
- 이겻을 때 얻는 이익과 졌을 때 손실로 손익비 b를 계산합니다.
- 켈리 공식에 p, q, b 값을 대입합니다.
- 계산 결과 f*만큼 자본을 베팅합니다.
손익비는 이길 때 이익과 질 때 손실의 비율이며, 켈리 공식에서는 이 값을 이용해 장기적으로 최적 베팅 비율을 계산합니다.
풀 켈리 및 하프 켈리
풀 켈리 (Full Kelly)

풀 켈리(Full Kelly)는 켈리 공식으로 계산된 최적 베팅 비율을 그대로 적용하는 전략으로, 장기적으로 자본 성장률을 최대화하는 것을 목표로 합니다.
이 전략은 수학적으로 가장 효율적인 투자 방법으로 설계되어 있어, 승률과 손익비가 정확하게 반영될 경우 장기적으로 자산을 가장 빠르게 늘릴 수 있습니다.
장점은 바로 이 점으로, 이론상으로는 장기 복리 수익률이 최대가 됩니다. 하지만 단점도 분명합니다.
풀 켈리는 변동성이 매우 크고, 연속적인 손실이 발생하면 큰 금액을 잃을 위험이 높습니다.
또한 실제 투자 환경에서는 승률과 손익비를 완벽하게 예측하기 어렵기 때문에, 이론적으로 최적이라 해도 심리적 부담이 크고 실전에서는 유지하기 어려울 수 있습니다.
이러한 이유로 풀 켈리는 수학적 최적 전략으로서 의미가 크지만, 많은 투자자들은 이를 그대로 적용하기보다는 리스크를 줄이기 위해 비율을 낮춘 하프 켈리나 쿼터 켈리를 선택하는 경우가 많습니다.
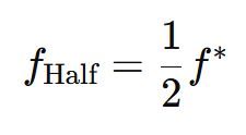
하프 켈리(Half Kelly)

하프 켈리(Half Kelly)는 풀 켈리 비율의 절반만 베팅하는 전략으로, 실제 투자나 베팅에서 많이 활용되는 안전 장치입니다.
이 방법은 풀 켈리가 제시하는 최적 베팅 비율보다 낮게 베팅함으로써 변동성과 연속 손실로 인한 위험을 줄이는 데 초점을 맞춥니다.
장점은 자본이 급격히 줄어드는 상황을 방지할 수 있고, 심리적 부담이 크게 낮아진다는 점입니다.
특히 연속적인 손실이 발생할 가능성이 있는 현실적인 환경에서 투자자가 감정적으로 흔들리지 않고 전략을 유지할 수 있도록 돕습니다.
반면, 단점은 장기적으로 자본 성장률이 풀 켈리를 적용했을 때보다 낮아진다는 점입니다.
즉, 최대 성장률은 달성하지 못하지만, 안전성과 지속 가능성을 우선시할 수 있다는 의미입니다.
이러한 이유로 많은 투자자와 베터는 장기적인 안정성을 위해 하프 켈리를 선호하며, 풀 켈리보다 실전에 더 적합한 접근법으로 간주합니다.
안정성과 성장률 사이의 균형을 고려할 때, 하프 켈리는 실용적이고 현실적인 전략으로 평가됩니다.
정리
| 구분 | 베팅 비율 | 장점 | 단점 | 사용 예시 |
|---|---|---|---|---|
| 풀 켈리 (Full Kelly) | (f*) | 장기 자본 성장률 최대화 | 변동성 크고 파산 위험↑ | 이론적 최적 베팅, 수학적 최대화 목적 |
| 하프 켈리 (Half Kelly) | (f*/2) | 변동성 낮음, 심리적 부담 감소 | 성장률은 풀 켈리보다 낮음 | 실제 투자·베팅에서 안전하게 사용 |
켈리 공식 주의 사항

켈리 공식을 적용할 때 가장 중요한 주의 사항은 확률과 손익비를 정확히 추정하는 것입니다.
켈리 공식은 이 두 값을 기반으로 최적 베팅 비율을 계산하기 때문에, 승률이나 손익비가 부정확하면 계산 결과가 실제 투자에서 큰 손실로 이어질 수 있습니다.
또한 풀 켈리 비율을 그대로 적용하면 단기 변동성이 매우 크고, 연속 손실 발생 시 자본이 급격히 줄어 파산 위험이 커집니다.
따라서 실전에서는 보통 Half Kelly나 Quarter Kelly처럼 베팅 비율을 줄여 안전성을 확보하는 것이 권장됩니다.
켈리 공식은 반복 베팅을 전제로 설계된 전략이므로 단발성 베팅에서는 최적화 효과가 나타나지 않으며, 베팅 후 자본 변화를 반영해 매번 비율을 재계산해야 합니다.
이와 같이 확률, 손익비, 변동성, 반복 베팅, 심리적 요인을 모두 고려해야 켈리 공식의 장점을 안전하게 활용할 수 있습니다.
켈리 공식(켈리 방정식) 관련 FAQ
자주 묻는 질문
1. 켈리 공식이란 무엇인가요?
켈리 공식은 장기적인 자산 성장률을 최대화하기 위해 개발된 수학적 자금 관리 전략입니다.
2. 켈리 공식을 만든 사람은 누구인가요?
1956년 미국 벨 연구소의 과학자 존 L. 켈리 주니어가 제안했습니다.
확률과 통계, 수학적 계산을 기반으로 베팅 금액을 최적화하는 방법을 제시했습니다.
3. 켈리 공식과 단순 기대값 계산의 차이는 무엇인가요?
단순 기대값 계산은 한 번 베팅의 평균 수익만 고려하지만, 켈리 공식은 장기적인 자본 성장률과 복리 구조를 기준으로 최적 비율을 계산합니다.
4. 손익 비란 무엇인가요?
손익비는 한 번 이겼을 때 얻는 이익과 한 번 졌을 때 입는 손실의 비율입니다.
예를 들어, 20만 원을 벌고 10만 원을 잃는다면 손익비 b=2b = 2입니다.
손익비는 켈리 공식에서 최적 베팅 비율을 결정하는 핵심 요소입니다.
5. 풀 켈리(Full Kelly)와 하프 켈리(Half Kelly)의 차이는 무엇인가요?
- 풀 켈리: 공식 계산 결과 f∗ 그대로 베팅. 장기 성장률 최대화, 변동성 큼.
- 하프 켈리: f∗/2만 베팅. 안정성 증가, 심리적 부담 감소, 성장률은 풀 켈리보다 낮음.
6. 켈리 공식 계산 결과가 음수나 0이면 어떻게 해야 하나요?
계산 결과가 0 또는 음수면 해당 베팅은 수학적으로 불리하다는 의미입니다.
이 경우에는 베팅하지 않는 것이 최적의 선택입니다. 켈리 공식은 단순히 “많이 걸라”는 것이 아니라, 유리한 기회만 걸도록 설계된 전략입니다.
7. 켈리 공식을 적용할 때 가장 흔한 실수는 무엇인가요?
- 승률을 근거 없이 감으로 입력
- 배당률과 손익비를 혼동
- Full Kelly를 그대로 적용하여 변동성 과대
- 단발성 베팅에만 사용하고 반복 적용하지 않음
8. 켈리 공식을 단발 베팅에도 적용할 수 있나요?
켈리 공식은 연속 베팅을 전제로 설계된 전략입니다.
단발성 베팅에서는 최적화 효과가 크게 나타나지 않으며, 위험 관리 측면에서도 유용성이 떨어집니다.
9. 켈리 공식에서 레버리지를 사용해도 되나요?
계산 결과가 1 이상이면 레버리지를 쓰게 되는데, 실제로는 큰 손실과 파산 위험이 존재합니다.
실전에서는 레버리지를 제한하거나 Half Kelly 등으로 비율을 줄여 안전성을 확보하는 것이 좋습니다.
10. 켈리 공식을 실제 베팅에 적용하려면 어떻게 해야 하나요?
-
승리 확률 추정
-
배당률 또는 손익비 b 확인
-
켈리 비율 계산 f∗
-
자본 × f*→ 베팅 금액 산출
-
연속 베팅 시 자본 변화를 반영해 매번 재계산
-
필요 시 Full Kelly 대신 Half Kelly 또는 Quarter Kelly로 조정

“본 게시물은 합법적인 국가와 지역 내에서의 게임 이해를 위한 정보 제공용입니다.”

