해당 글의 목차
기댓값 베팅 완전 정리 – Expected Value, EV 알아보기
기댓값이란? (Expected Value, EV)
기댓값(Expected Value, EV)은 확률론에서 자주 사용되는 개념으로 어떤 사건이나 상황에서 발생할 수 있는 여러 가지 결과들의 평균적인 값을 의미합니다.
이는 특정 사건이 반복될 때 발생할 수 있는 결과들의 “평균적인 이득”을 예측하는 데 도움을 줍니다.
간단히 말해, 기댓값은 여러 번의 시도를 통해 얻을 수 있는 장기적인 평균적인 결과를 보여주는 도구입니다.
기댓값은 단순히 결과들의 평균을 넘어서, 투자나 베팅에서 장기적으로 얻을 수 있는 이득이나 손해를 예측하는 중요한 지표로 활용됩니다.
예를 들어, 주식 투자에서 각 선택지의 기댓값을 계산하거나, 스포츠 베팅에서 어떤 결과가 더 유리할지 판단하는 데 쓰입니다.

기댓값을 잘 활용하면 리스크를 최소화하고, 합리적인 결정을 내리는 데 도움이 됩니다.
따라서, 베팅이나 투자에서 기댓값을 계산하는 것은 장기적인 성공을 위해 매우 중요한 과정입니다.
또한, 한 번의 승패가 아닌 반복적인 결과를 분석하는 것이므로, 단기적인 결과에 휘둘리지 않도록 하는 데도 중요한 역할을 합니다.
이를 바탕으로 기댓값을 정확히 계산하여 위험을 줄이고, 지속 가능한 이익을 추구할 수 있습니다.
왜 기댓값이 중요한가?

기댓값은 베팅이나 도박에서 중요한 역할을 합니다.
대부분의 도박 및 카지노 게임은 플레이어에게 마이너스 EV(기대 손실)를 갖도록 설계되어 있습니다.
즉, 각 게임은 장기적으로 플레이어가 이길 가능성보다는 지는 가능성을 높게 설정하고, 이는 게임의 배당률과 규칙에서 비롯됩니다.
예를 들어, 룰렛이나 슬롯 머신과 같은 게임은 운영자가 일정 비율로 이익을 취할 수 있도록 설계되어 있기 때문에, 운이 좋아 단기적으로 이길 수는 있어도 시간이 지나면 기댓값이 마이너스로 돌아가게 됩니다.
이러한 마이너스 EV 게임을 계속해서 한다면, 장기적으로 볼 때 손실이 커지게 됩니다.
비록 한 번의 게임에서는 이길 수 있지만, 반복적으로 게임을 하면 할수록 손해가 누적되기 때문입니다.
따라서 기댓값을 이해하고, 이론적으로 자신이 참여하는 게임이 이익을 가져올 가능성이 적다는 사실을 인지하는 것이 중요합니다.
결국, 도박에서의 장기적인 손실을 피하려면 기댓값을 정확히 계산하고, 전략을 세우는 것이 필수적입니다.
기댓값 계산 방법
기댓값(Expected Value, EV)은 각 결과의 확률과 그에 해당하는 결과값을 곱한 후, 이를 모두 더한 값입니다.
기본적인 공식은 다음과 같습니다.
EV = (P1 × X1) + (P2 × X2) + ⋯ + (Pn × Xn)
- Pi는 각 사건이 발생할 확률,
- Xi는 각 사건에 대한 결과값(혹은 이득 또는 손실)을 나타냅니다.
이 공식은 모든 가능한 결과의 확률과 그 결과에 따른 금액을 곱한 후, 그 값을 더해 기댓값을 구하는 방식입니다.
예를 들어, 주사위 게임에서 각 면이 나올 확률이 동일하고, 그에 맞는 금액이 주어진다면, 이를 이용해 기댓값을 계산할 수 있습니다.
이때 기댓값이 양수라면 장기적으로 이득을 볼 확률이 높고, 음수라면 손해를 볼 확률이 높다는 의미입니다.
카지노 게임 기댓값

카지노 게임에서 기댓값을 계산하는 것은 중요한 전략 중 하나입니다.
대부분의 카지노 게임은 운영자가 이득을 가져가도록 설계되어 있어, 플레이어의 기댓값은 음수로 설정되어 있습니다.
대부분의 카지노 게임은 각각의 게임 규칙에 따라 플레이어가 이길 확률과 패할 확률이 정해져 있으며, 이를 바탕으로 기댓값을 계산할 수 있습니다.
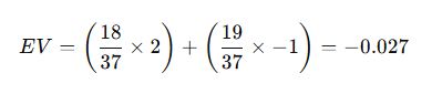
예시) 룰렛
유럽식 룰렛에는 37개의 숫자(0~36)가 존재하며, 각 숫자의 확률은 동일합니다.
만약 1:1 배당(예: 빨강/검정)으로 베팅한다고 가정하면, 이길 확률은 약 18/37이고, 지는 확률은 19/37입니다.
배당은 2배이지만, 0이 포함되어 있어 실제로는 기댓값이 음수가 됩니다.
이를 계산하면,

이처럼 룰렛에서 기댓값은 약 -2.7%로, 장기적으로 보면 플레이어는 일정한 손실을 보게 됩니다.
스포츠 베팅 기댓값

스포츠 베팅에서도 기댓값은 중요한 역할을 합니다.
각 팀의 승리 확률과 베팅 배당률을 비교하여, 자신이 베팅하려는 선택이 실제로 이익을 가져올 확률이 높은지를 판단하는 데 사용됩니다.
스포츠 베팅의 기댓값은 배당률과 해당 결과의 확률을 바탕으로 계산할 수 있습니다.
예시) 스포츠 베팅
A팀과 B팀의 경기가 있고, A팀의 승리 확률은 60%, B팀의 승리 확률은 40%라고 가정합니다.
A팀에 100원, B팀에 100원씩 베팅할 경우, A팀의 배당률은 1.8배, B팀의 배당률은 2.2배라고 할 때, 각 결과에 대한 기댓값을 계산할 수 있습니다.
- A팀의 기댓값: EVA = (0.6×1.8) + (0.4×0) = 1.08
- B팀의 기댓값: EVB = (0.4×2.2) + (0.6×0) = 0.88
이 예시에서 A팀에 베팅하는 것이 더 높은 기댓값을 가지고 있으므로, 장기적으로 볼 때 A팀에 베팅하는 것이 더 유리하다고 할 수 있습니다.
스포츠 베팅에서 기댓값이 양수라면 장기적으로 이득을 볼 가능성이 크고, 음수라면 손해를 볼 가능성이 높다는 것을 의미합니다.
기댓값 베팅 실전 적용

기댓값을 베팅에 실전 적용하는 것은 기본적으로 장기적인 승률을 높이는 데 중점을 두어야 합니다.
우선 각 게임이나 베팅에서의 확률과 배당률을 정확히 계산해야 합니다.
해당 베팅 목록의 승리 확률과 그에 따른 배당률을 확인하고, 그 확률에 맞는 배당률이 주어졌을 때 베팅을 합니다.
이때, 기댓값이 양수인 베팅을 우선적으로 선택해야 합니다.
주사위 게임, 룰렛과 같은 게임에서도 마찬가지로, 각 결과에 확률과 배당률을 계산해봄으로써, 장기적인 기댓값이 양수인 게임을 선택하는 것이 중요합니다.
실제로 베팅을 할 때는 단기적인 승패에 집착하지 않고, 장기적인 승률에 집중해야 합니다.
따라서, 하루나 이틀의 결과로 너무 승리나 패배에 신경 쓰지 말고, 계속해서 기댓값이 높은 베팅을 반복적으로 진행하는 것이 중요합니다.
이를 통해 수학적 접근을 통해 장기적으로 안정적인 수익을 얻을 수 있습니다.

기댓값 베팅 주의 사항
100% 승률이 아니다

기댓값이 양수라 하더라도 무조건 이기는 것이 아닙니다.
기댓값은 장기적인 평균 결과를 예측하는 도구이기 때문에, 단기 결과는 운에 영향을 받을 수 있습니다.
스포츠 베팅에서 예상보다 약팀이 이기는 경우나 카지노 게임에서 예상 외의 결과가 나올 수 있습니다.
이런 예외적인 상황은 확률적으로는 나올 수 있지만, 길게 장기적인 관점에서 보았을 때는 기댓값이 좋습니다.
따라서, 기댓값이 양수인 베팅을 했다고 해서 항상 이기는 것이 아니라는 점을 인지하고, 일관적인 자세를 유지하는 것이 중요합니다.
기댓값이 높은 베팅을 꾸준히 진행하다 보면, 결국에는 장기적으로 이익을 볼 수 있습니다.
자금 관리는 필수

기댓값이 양수인 베팅을 하더라도, 자금 관리는 매우 중요합니다.
기댓값이 양수라는 것은 장기적으로 이득을 볼 가능성이 높다는 것이지만, 한 번의 베팅에서 모든 자금을 투자하거나 너무 큰 금액을 걸면 큰 손실을 입을 수 있습니다.
예를 들어, 한 번의 베팅에 모든 자금을 쏟아붓고 실패한다면, 그 후에는 회복이 매우 어려워집니다.
베팅에서 성공하려면 리스크를 분산하고 자금을 효율적으로 관리해야 합니다.
자금 관리 전략으로는 일반적으로 베팅 금액을 일정 비율로 제한하는 방법이 있습니다.
자산의 2~5% 정도만을 베팅에 사용하는 방법은 큰 손실을 방지할 수 있는 좋은 방법입니다.
또한, 하루나 주간 단위로 베팅을 제한하는 것도 중요합니다. 예산을 설정하고 한 번의 베팅으로 전체 자금을 소진하지 않도록 자금을 분배해야 합니다.
이를 통해 예상 외의 손실에 대비할 수 있으며, 장기적으로 안정적인 수익을 쌓아갈 수 있습니다.
배당률 변동에 유의

베팅에서 배당률은 게임이 진행됨에 따라 변동할 수 있기 때문에, 배당률 변동에 맞춰 베팅 전략을 조정하는 것이 매우 중요합니다.
스포츠 베팅에서는 팀의 선수 부상, 날씨, 경기 전 상황 등에 따라 배당률이 바뀔 수 있습니다.
배당률이 상승할 때는 기댓값이 더 높아지므로 추가 베팅을 고려할 수 있습니다.
반대로, 배당률이 하락하면 기댓값이 낮아지기 때문에 그에 맞게 베팅을 다시 계산하거나 베팅을 피하는 것이 필요합니다.
배당률 변화에 신속히 반응할 수 있도록 항상 배당률을 체크하고, 변동성에 맞게 조정하는 능력이 중요합니다.
경기가 진행되면서 배당률이 급격하게 변할 경우, 그 변동에 맞춰 더 유리한 배당을 선택하거나, 반대로 불리한 배당을 피하는 전략을 사용할 수 있습니다.
배당률 변동을 정확히 예측하거나, 그 변동을 적절히 활용하는 것은 기댓값을 높이고, 리스크를 줄이는 데 매우 효과적입니다.
기댓값 베팅 전략
양수 기댓값 선택

기댓값이 양수인 베팅은 장기적으로 이득을 볼 확률이 높다는 의미입니다.
베팅에서 가장 기본적인 전략은 기댓값이 양수인 베팅만 선택하는 것입니다.
만약 어떤 게임의 기댓값이 음수라면, 그 게임은 피하는 것이 유리합니다.
음수 기댓값을 가진 베팅을 지속적으로 한다면, 장기적으로 지속적인 손실을 경험하게 되기 때문입니다.
따라서, 양수 기댓값을 가진 게임에 집중하는 것이 장기적인 수익을 추구하는 핵심 전략입니다.
기댓값을 계산하고 양수인 베팅을 우선시하면, 단기적인 승패에 휘둘리지 않고 장기적으로 이익을 누릴 확률이 높아집니다.
반대로, 배당률이 유리하게 나오지 않거나 승리 확률이 낮은 게임에 베팅을 할 경우 기댓값이 음수로 나와 장기적으로 손실을 입을 위험이 큽니다.
따라서, 기댓값이 양수인 베팅을 지속적으로 선택하는 것이 중요합니다.
분산 복합 베팅

리스크 분산을 위한 복합 베팅은 단일 베팅에서 발생할 수 있는 큰 손실을 줄이기 위한 전략입니다.
기댓값이 높은 베팅을 여러 개 선택하면, 한 게임에서의 패배가 다른 게임에서의 승리로 상쇄될 수 있기 때문입니다.
스포츠 베팅에서 여러 경기를 대상으로 베팅을 분산시키거나, 카지노 게임에서는 여러 게임을 번갈아 가며 플레이하는 것이 리스크를 분산하는 방법입니다.
이를 통해 하나의 게임에서 손실이 발생하더라도 다른 게임에서 이익을 얻을 수 있는 기회를 가질 수 있습니다.
리스크 분산을 통해 장기적으로 안정적인 수익을 추구할 수 있고, 불리한 상황에서 큰 손실을 피할 수 있습니다.
베팅 금액도 분배하여 각 베팅에서 손실을 최소화하고, 전체적으로 수익을 극대화할 수 있는 기회를 높여줍니다.
장기적인 플레이

기댓값 베팅의 핵심은 장기적인 플레이를 목표로 하는 것입니다.
베팅에서 단기적인 승패에 너무 집중하면, 일시적인 운에 휘둘려 잘못된 결정을 내리게 될 수 있습니다.
따라서, 장기적인 관점에서 기댓값이 높은 베팅을 계속해서 반복적으로 진행하는 것이 중요합니다.
단기적인 패배에 너무 신경 쓰지 않고, 기댓값이 높은 게임을 꾸준히 진행하는 것이 장기적으로 이익을 볼 확률을 높입니다.
기댓값이 높은 게임을 지속적으로 해나가면 결국 수익을 얻을 가능성이 커집니다.
운에 휘둘리지 않고 전략적으로 플레이하며, 장기적으로 수익을 추구하는 방향으로 접근하는 것이 성공적인 베팅의 핵심입니다.
기댓값 베팅 관련 FAQ
자주 묻는 질문
1. 기댓값이 양수인 베팅은 항상 이길까요?
아니요, 기댓값이 양수라 해도 단기적으로는 운에 영향을 받을 수 있습니다.
장기적으로 이득을 볼 확률이 높아지지만, 단기적으로는 결과가 달라질 수 있습니다.
2. 기댓값이 음수인 게임은 왜 피해야 하나요?
기댓값이 음수인 게임은 장기적으로 손실을 입을 가능성이 큽니다.
지속적인 손해를 피하기 위해 음수 기댓값을 가진 게임은 피하는 것이 좋습니다.
3. 기댓값을 어떻게 계산하나요?
기댓값은 결과의 확률 × 결과값을 계산한 뒤, 모든 결과에 대해 더하는 방식으로 구합니다.
예를 들어, 주사위 게임에서 각 면의 확률과 배당률을 곱한 후 합산하면 됩니다.
4. 기댓값이 양수인 게임을 계속하는 이유는 무엇인가요?
기댓값이 양수인 게임은 장기적으로 이득을 볼 가능성이 높기 때문입니다.
단기적인 승패에 신경 쓰지 않고, 장기적인 수익을 추구하는 전략입니다.
5. 기댓값 베팅에서 자금 관리는 왜 중요하나요?
자금 관리는 리스크를 줄이고 안정적인 수익을 쌓기 위해 필수적입니다.
큰 금액을 한 번에 베팅하면 큰 손실을 입을 수 있으므로, 자금을 분배하여 리스크를 분산하는 것이 중요합니다.
“베팅이나 도박 행위는 자신의 책임 하에 신중히 결정되어야 하며, 본 블로그는 권유하거나 장려하지 않습니다.”

